提到埃隆·马斯克,笔者总会想到电影《钢铁侠》,在我看来,这个男人简直就是现实版的托尼·斯塔克。这可不是信口开河,想想看,他打造了世界上最酷的电动车、最酷的可回收火箭,还有最高时速超1200公里/时的超级隧道,埃隆·马斯克一直在尝试将科幻电影中的画面变成现实。而如今,他又将造出世界上最大的“超级电池”。

埃隆·马斯克和钢铁侠可不只是神似
当然,从技术层面讲,生产电池的并不是埃隆·马斯克本人,而是特斯拉公司,不过这也没什么差别,毕竟特斯拉也是人家自己的。据外媒报道,特斯拉预计生产的电池阵列将能够储存129兆瓦·时的电量!

沙漠中的特斯拉超级电池工厂
等等...129兆-什么?兆瓦·时究竟是个什么量级的单位?特斯拉的超级电池到底有多牛?听我为您细细道来。
1.先说无聊的:129兆瓦·时是什么概念?
我们在初中物理就学过,能量最常用的单位是“焦耳”。举个简单的例子,将一本书从地上捡起并放到桌上,这个过程消耗的能量约为10焦耳,当然这只是个近似值,具体的能量消耗值取决于书的重量和书桌的高度。
那么兆瓦时呢?首先,它也是能量的单位之一,想要更直观理解它,我们需要了解另一个概念:功率。在中学物理老师无数次的重复中,我总算记住了这个公式:

功率的计算公式
其中△E是能量的变化,△t则是时间的变化,如果二者都是标准单位的话,功率的单位就是W(瓦)。那么功率·时间就是能量的另一个表现形式,而1瓦·秒=1焦耳,按照下面的公式我们可以算出,1瓦·时=3600焦耳。

所以,129兆瓦·时就等同于4.6x1011焦耳能量,但这么说还是不够直观,这些能量究竟能做什么?我再给您举两个例子。
2.来点刺激的:两个例子体会强大能量
①能让航母上天?
前面说了,我们将一本书从地面捡起放到桌上大概需要10焦耳的能量,那么4.6x1011焦耳能量能举起什么呢?举起重物也就是增加了它的重力势能,这就需要用到我们中学课本上的另一个公式:

增加的重力势能=物体的重量x举起的高度x当地重力加速度(约为9.8)

金字塔:听说有人想把我举高高?
我们假设高度为10米,也就是大概3层楼那么高,4.6x1011焦耳能量能够举起的物体重量约为47亿公斤,也就是4.7x106吨,嗯...大概相当于一个吉萨金字塔那么重。想象下,把金字塔举起离地面10米的高度,也是挺酷的!

上次把美国航母抛离海面的还是变形金刚
感觉举起金字塔还是不现实?那我们换个大家相对更熟悉的:美国尼米兹级航空母舰“卡尔文森”号,其重量约为1000万公斤,按照前面的公式,特斯拉一组电池序列的能量可以将其举起469米的高度。想要航母上天?用一块儿特斯拉的电池就够了。
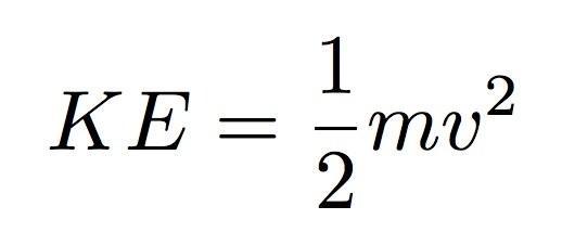
②瞬时加速怎么样?
F1比赛大家都不陌生,赛车启动的瞬间其速度能达到数百公里/小时,这依赖于发动机产生的能量,带来的则是赛车“动能”的增加。那么我们就以F1赛车为例,4.6x1011焦耳能量可以将一辆F1赛车速度达到多少?

F1发车瞬间
2015年FIA规定,F1赛车的空油重量不得低于702公斤,那么算上车手和油箱的重量,比赛中赛车的总重量约为800公斤,如果一块特斯拉超级电池的能量瞬间怼在这台赛车上,根据公式

我们可以算出,赛车的瞬时速度将达到11.5亿米/秒...也就是4140000000公里/时,舒马赫听了想自燃。

世界上能够驾驭这个速度的,恐怕也只有钢铁侠了
通过上面两个例子,相信大家已经充分体会到了特斯拉超级电池的威力,这么厉害的电池究竟是干什么用的呢?除了满足自家特斯拉的电动车量产以外,也将与合作伙伴一起,推动全球可持续能源的发展和利用。科技狂人埃隆·马斯克在未来还会带给我们哪些“疯狂”的创举呢,让我们共同期待吧!
